pandas操作:再见,可视化!你好,pandas!
推荐
在线提问>>
用Python做数据分析离不开pandas,pnadas更多的承载着处理和变换数据的角色,pands中也内置了可视化的操作,但效果很糙。
因此,大家在用Python做数据分析时,正常的做法是用先pandas先进行数据处理,然后再用Matplotlib、Seaborn、Plotly、Bokeh等对dataframe或者series进行可视化操作。
但是说实话,每个可视化包都有自己独特的方法和函数,经常忘,这是让我一直很头疼的地方。
好消息来了!从最新的pandas版本0.25.3开始,不再需要上面的操作了,数据处理和可视化完全可以用pandas一个就全部搞定。
pandas现在可以使用Plotly、Bokeh作为可视化的backend,直接实现交互性操作,无需再单独使用可视化包了。
下面我们一起看看如何使用。
1. 激活backend
在import了pandas之后,直接使用下面这段代码激活backend,比如下面要激活plotly。
pd.options.plotting.backend = 'plotly'
目前,pandas的backend支持以下几个可视化包。
●Plotly
●Holoviews
●Matplotlib
●Pandas_bokeh
●Hyplot
2. Plotly backend
Plotly的好处是,它基于Javascript版本的库写出来的,因此生成的Web可视化图表,可以显示为HTML文件或嵌入基于Python的Web应用程序中。
下面看下如何用plotly作为pandas的backend进行可视化。
如果还没安装Plotly,则需要安装它pip intsall plotly。如果是在Jupyterlab中使用Plotly,那还需要执行几个额外的安装步骤来显示可视化效果。
首先,安装IPywidgets。
pip install jupyterlab "ipywidgets>=7.5"
然后运行此命令以安装Plotly扩展。
示例选自openml.org的的数据集,链接如下:
数据链接:https://www.openml.org/d/187
这个数据也是Scikit-learn中的样本数据,所以也可以使用以下代码将其直接导入。
该数据集是葡萄酒相关的,包含葡萄酒类型的许多功能和相应的标签。数据集的前几行如下所示。

下面使用Plotly backend探索一下数据集。
绘图方式与正常使用Pandas内置的绘图操作几乎相同,只是现在以丰富的Plotly显示可视化效果。
下面的代码绘制了数据集中两个要素之间的关系。

如果将鼠标悬停在图表上,可以选择将图表下载为高质量的图像文件。

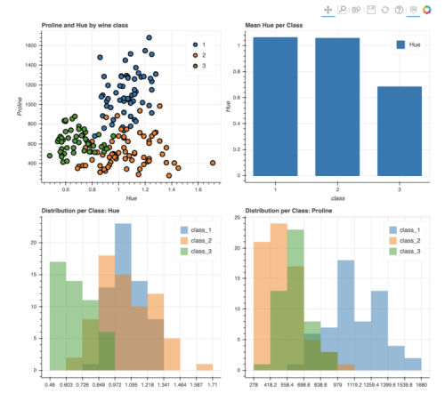
我们可以结合Pandas的groupby函数创建一个条形图,总结各类之间Hue的均值差异。

将class添加到我们刚才创建的散点图中。通过Plotly可以轻松地为每个类应用不同的颜色,以便直观地看到分类。

3. Bokeh backend
Bokeh是另一个Python可视化包,也可提供丰富的交互式可视化效果。Bokeh还具有streaming API,可以为比如金融市场等流数据创建实时可视化。
pandas-Bokeh的GitHub链接如下:
https://github.com/PatrikHlobil/Pandas-Bokeh
老样子,用pip安装即可,pip install pandas-bokeh。
为了在Jupyterlab中显示Bokeh可视化效果,还需要安装两个新的扩展。
下面我们使用Bokeh backend重新创建刚刚plotly实现的的散点图。
关键语句就一行代码,非常快捷,交互式效果如下。

Bokeh还具有plot_grid函数,可以为多个图表创建类似于仪表板的布局,下面在网格布局中创建了四个图表。
可以看到,可视化的部分都是在pandas的dataframe基础上一行代码搞定,最后plot_grid完成布局。

4. 总结
在内置的Pandas绘图功能增加多个第三方可视化backend,大大增强了pandas用于数据可视化的功能,今后可能真的不需再去学习众多可视化操作了,使用pandas也可以一击入魂!
